小可可需要你构造一个 n 个点 m 条边且无重边的有向无环图(节点从 1 开始标 号),其中点 1 的入度和点 n 的出度必须为 0。并且,对于 0 \sim p 中的每一个整数 i,都能通过保留图中的一部分有向边使得从点 1 到点 n 的不同路径方案数为 i。请给出你构造的有向无环图以及对于每一个 i 需要保留哪些边。
答案不唯一,因此你只需输出任意一种可行方案,详见输出格式。你可以自己指 定 n, m 的大小,但必须保证 n \le 24, m \le 65。
一条经过 |P| 个点的,从点 1 到点 n 的路径 P 可以描述为一个长度为 |P| 的序列 (P_1,P_2, …, P_{|p|}),其中 P_1 = 1, P|p| = n,并且对于 i = 1, 2, …, |P| − 1,图中都存在 P_i → P_{i+1}的有向边。 两条路径 A,B 不同,当且仅当 |A|≠|B|,或者存在一个 1 \sim |A| 中的正整数 i,使得 A_i≠B_i。
输入仅有一行一个正整数 p。
第一行输出两个正整数 n,m,表示你构造的有向无环图的点数和边数。
接下来 m 行,第 i 行输出两个正整数 u,v,表示图中的第 i 条有向边 u→v。
接下来 p+1 行,第 i 行输出一个长度为 m 的仅由 01 构成的字符串,表示要使得点 1 到点 n 的不同路径方案数为 i−1 的情况下选择保留哪些边:从左到右第 j 个字符若为 1 表示保留第 j 条边,0 表示不保留。
3
5 6 1 2 2 5 1 3 3 5 1 4 4 5 000000 110000 111100 111111
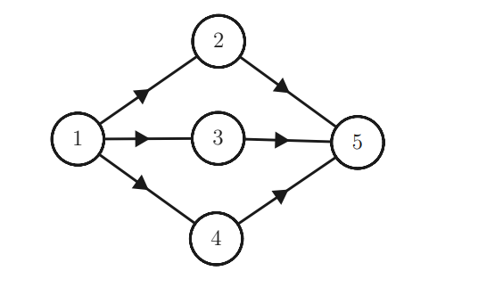
样例中 p = 3。下图是样例输出中构造出的一种可行的图。

当六条边全部不选的时候,显然点 1 无法到达点 5,方案数为 0。
仅保留第 1, 2 条边时,点 1 到点 5 仅有一条路径可选(1 → 2 → 5),方案数为 1。
保留第 1, 2, 3, 4 条边时,点 1 到点 5 有两条路径可选(1 → 2 → 5 和 1 → 3 →5),方案数为 2。
所有边全部保留时,点 1 到点 5 有三条路径可选(1 → 2 → 5,1 → 3 → 5 和 1 → 4 → 5),方案数为 3。
因此,这组构造方案是合法的。
对于所有数据,保证 p ≤ 75000。
本题共计二十个测试点,每个测试点的输入是已知的(详见下表)。只有你的构造 合法,并且满足 n \le 24, m \le 65 才可获得该测试点的分数,否则该测试点不得分。
| 测试点编号 | p= | 测试点编号 | p= | 测试点编号 | p= | 测试点编号 | p= |
|---|---|---|---|---|---|---|---|
| 1 | 5 | 6 | 300 | 11 | 6000 | 16 | 35000 |
| 2 | 10 | 7 | 600 | 12 | 8000 | 17 | 45000 |
| 3 | 20 | 8 | 1000 | 13 | 10000 | 18 | 55000 |
| 4 | 50 | 9 | 2000 | 14 | 15000 | 19 | 65000 |
| 5 | 100 | 10 | 4000 | 15 | 25000 | 20 | 75000 |
【温馨提示】 本题 p 较大时输出量较大,因此请使用合适的方式输出。你也应当使用恰当的方 法打开输出文件以防止电脑崩溃。
本题下发校验器 checker.cpp 供你测试你的构造是否合法。下发的校验器与最终
评测中使用的校验器有所不同,你也无需关心其中的具体内容。请将本题下发文件
checker.cpp 解压缩到你的本题程序所在文件夹中,并在你的本题程序所在文件夹中右键单击,选择菜单中的“在终端打开”,然后使用以下命令编译
checker.cpp:g++ checker.cpp ‐o checker ‐O2 ‐std=c++14
随后用以下命令测试你的输出:
./checker <input.in> <output.out>
其中,<input.in> 是输入文件,<output.out> 是输出文件。实际输入时不需要尖括号。你必须严格按照要求使用指令,否则将得到 Format incorrect。
以下是从 construct.in 读入,输出到 construct.out 的指令示例:
./checker construct.in construct.out
成功运行指令后,如果你的构造合法,你将会看到 Accepted,否则你会看到 Wrong answer 以及详细错误信息,具体如下:
请注意:如果你的输出不符合输出格式,校验器可能会返回无效信息或者出现运行时错误。
“科大国创杯”2026 年安徽省青少年信息学科普日活动 中学组